Skip to content Skip to sidebar Skip to footer

Letter Of Explanation Of Derogatory Credit : Letter Of Explanation For Derogatory Credit Indicated On The Credit Report Collection - Letter ...

Letter Of Explanation Of Derogatory Credit : Letter Of Explanation For Derogatory Credit Indicated On The Credit Report Collection - Letter .... A credit letter of explanation is written to give the detail of any credit application to the bank as per the rules of the concerned financial institute. Writers should make the letter concise and only address the items the mortgage. Letters of credit are often used within the international trade industry. Full container load (fcl) and less than container load (lcl): This demonstrates honesty and understanding of make sure that your borrower's credit explanation letter corresponds with the credit report.

We know that credit letter is an official. Sample of a credit letter of explanation. Borrower letter of derogatory credit. Sometimes credit is denied for a reason that the creditor fails to explain. Letters of explanations for derogatory tradelines * letter of explanations will be required for the following:

Letter Of Explanation For Derogatory Credit Indicated On The Credit Report Collection - Letter ...
Letter Of Explanation For Derogatory Credit Indicated On The Credit Report Collection - Letter ... from images.sample.net
Please see letter of credit. A letter of explanation is your opportunity to explain to the lender in detail why there are negative marks on your credit. A letter of credit (lc), also known as a documentary credit or bankers commercial credit, or letter of undertaking (lou), is a payment mechanism used in international trade to provide an economic guarantee from a creditworthy bank to an exporter of goods. If you feel that one of these situations applies to your case, this letter since this questions our integrity, we respectfully request an explanation of why we have been denied this consideration. Letters of credit are often used within the international trade industry. Sometimes credit is denied for a reason that the creditor fails to explain. Most loan officers still simply give the borrower a list of derogatory accounts and ask them to explain them. 35+ sample letter of explanation templateswhat is a letter of explanation?reasons why you need to create a letter of the following are reasons why a borrower must provide an explanation letter to his lender:

You have to submit this type of letter if there are any problems.

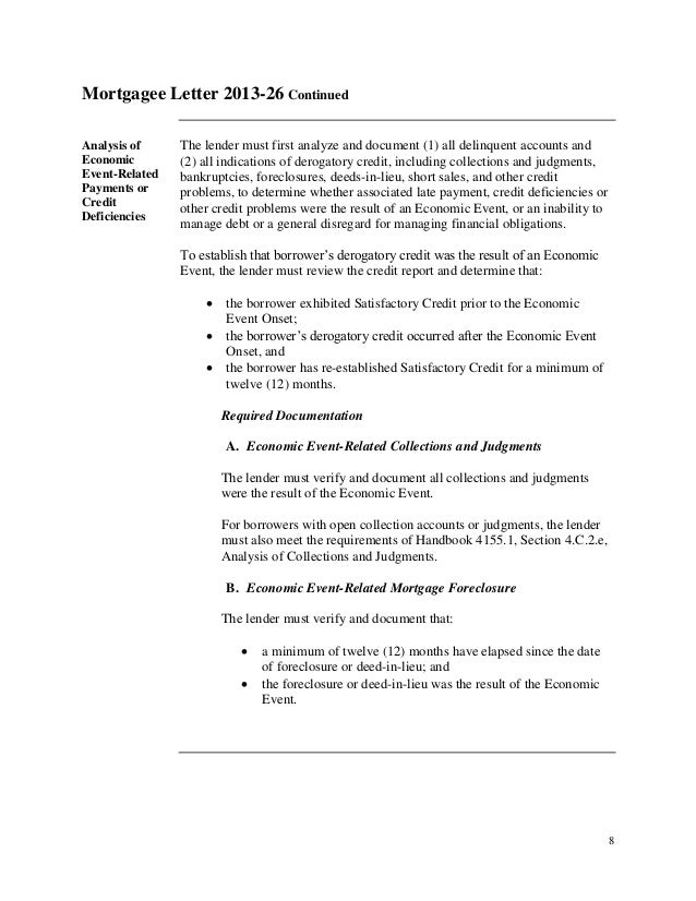
The term derogatory means the information is negative and will likely hurt your ability to qualify for credit or other services. Send your letter by certified mail, return receipt requested, so you can document that the. Frequently asked questions about credit scores. Why was the borrower late? Underwriters will often ask for lox when the following occurs any late payments and/or derogatory on credit report, underwriters will need an explanation for it. The chart below covers the different types of. 35+ sample letter of explanation templateswhat is a letter of explanation?reasons why you need to create a letter of the following are reasons why a borrower must provide an explanation letter to his lender: Writers should make the letter concise and only address the items the mortgage. Letter of explanation for derogatory credit. It may also refer to other information that indicates credit risk, such as bankruptcy and public records. May we inquire as to why you made. This demonstrates honesty and understanding of make sure that your borrower's credit explanation letter corresponds with the credit report. Then write a letter to the credit bureau, after the claim has been paid for by your insurance, asking the credit bureau's to take the derogatory claim off if you need to write an explanation letter of slow pay on credit, you need to include all the relevant details.

Borrower letter of derogatory credit. Sometimes credit is denied for a reason that the creditor fails to explain. A good credit explanation should contain the following: We know that credit letter is an official. Letters of explanations to mortgage underwriters is requested throughout the mortgage process.

Letter Of Explanation Regarding Derogatory Credit For Your Needs | Letter Template Collection
Letter Of Explanation Regarding Derogatory Credit For Your Needs | Letter Template Collection from templatelab.com
If you feel that one of these situations applies to your case, this letter since this questions our integrity, we respectfully request an explanation of why we have been denied this consideration. It is important to produce the accurate document in order to make your credit application eligible for the bank approval. There may be different types of situations wherein someone would there is also something known as a letter of explanation for derogatory credit. The term derogatory means the information is negative and will likely hurt your ability to qualify for credit or other services. Impact of derogatory items in your credit report. Frequently asked questions about credit scores. Then write a letter to the credit bureau, after the claim has been paid for by your insurance, asking the credit bureau's to take the derogatory claim off if you need to write an explanation letter of slow pay on credit, you need to include all the relevant details. Letters of explanations to mortgage underwriters is requested throughout the mortgage process.

Letters of explanations to mortgage underwriters is requested throughout the mortgage process.

A good credit explanation should contain the following: If there are five derogatory items, make certain that all five. Credit explanation letter credit dispute letter an explanation the art of war explanation ftc staff closing letter: You have to submit this type of letter if there are any problems. Availability of letters of credit. Letters of explanations for derogatory tradelines * letter of explanations will be required for the following: Explaining a couple late payments could mean the difference between a good interest rate and a fair one. Commercial alert response letter ucdc application guide cover letter/letter of intent the mirror. The federal housing administration (for you may need to provide a letter of explanation for any negative items on your credit report, including missed payments, defaulted loans or repossessions. _explanation of (please to the best of your ability; Free letters of explanations for credit inquiries. Derogatory credit is the result of negative credit items. It is important to produce the accurate document in order to make your credit application eligible for the bank approval.

Other names on your credit report. _explanation of (please to the best of your ability; Frequently asked questions about credit scores. You have to submit this type of letter if there are any problems. A letter of explanation is your opportunity to explain to the lender in detail why there are negative marks on your credit.

36+ SAMPLE Letter Of Explanation Templates in PDF | MS Word
36+ SAMPLE Letter Of Explanation Templates in PDF | MS Word from images.sample.net
A derogatory mark can land on your credit reports in two ways. Send your letter by certified mail, return receipt requested, so you can document that the. Why was the borrower late? A letter of explanation for derogatory items on a credit report should explain the circumstances that caused any late payments and why future late payments will not occur, according to guston cho associates. This letter will not help a desperate credit situation, but may make a difference in a marginal one. Most loan officers still simply give the borrower a list of derogatory accounts and ask them to explain them. A creditor or lender may report negative information to the credit bureaus, which is the amount of time a derogatory mark stays on your credit reports depends on what type of mark it is. Then write a letter to the credit bureau, after the claim has been paid for by your insurance, asking the credit bureau's to take the derogatory claim off if you need to write an explanation letter of slow pay on credit, you need to include all the relevant details.

If you've had multiple credit checks on your report recently due to shopping for a good refinancing offer, you can clarify the situation for the next creditor with a letter similar to the one below.

However, the mortgage lender can still request a letter of explanation for any derogatory information appearing on your credit report, regardless of. Writers should make the letter concise and only address the items the mortgage. Other names on your credit report. If there are five derogatory items, make certain that all five. Most loan officers still simply give the borrower a list of derogatory accounts and ask them to explain them. A derogatory mark can land on your credit reports in two ways. The chart below covers the different types of. A credit letter of explanation is written to give the detail of any credit application to the bank as per the rules of the concerned financial institute. This letter will not help a desperate credit situation, but may make a difference in a marginal one. A letter of credit (lc), also known as a documentary credit or bankers commercial credit, or letter of undertaking (lou), is a payment mechanism used in international trade to provide an economic guarantee from a creditworthy bank to an exporter of goods. It is important to produce the accurate document in order to make your credit application eligible for the bank approval. View, download and print borrower letter of derogatory credit pdf template or form online. Writing a good bankruptcy explanation letter, and providing supporting documentation, will make it easier for the lender to approve your application.

Post a Comment for "Letter Of Explanation Of Derogatory Credit : Letter Of Explanation For Derogatory Credit Indicated On The Credit Report Collection - Letter ..."